Low threshold infrared avalanche photodetector
The infrared avalanche photodetector (APD photodetector) is a class of semiconductor photoelectric devices that produce high gain through collision ionization effect, so as to achieve the detection ability of few photons or even single photons. However, in conventional APD photodetector structures, the non-equilibrium carrier scattering process leads to energy loss, such that the avalanche threshold voltage usually needs to reach 50-200 V. This puts higher demands on the device’s drive voltage and readout circuit design, increasing costs and limiting wider applications.
Recently, Chinese research has proposed a new structure of avalanche near infrared detector with low avalanche threshold voltage and high sensitivity. Based on the self-doping homojunction of atomic layer, the avalanche photodetector solves the harmful scattering induced by interface defect state which is unavoidable in heterojunction. Meanwhile, the strong local “peak” electric field induced by translation symmetry breaking is used to enhance the coulomb interaction between carriers, suppress the off-plane phonon mode dominated scattering, and achieve a high doubling efficiency of non-equilibrium carriers. At room temperature, the threshold energy is close to the theoretical limit Eg (Eg is the band gap of semiconductor) and the detection sensitivity of the infrared avalanche detector is up to 10000 photon level.
This study is based on atom-layer self-doped tungsten diselenide (WSe₂) homojunction (two-dimensional transition metal chalcogenide, TMD) as a gain medium for charge carrier avalanches. The spatial translational symmetry breaking is achieved by designing a topography step mutation to induce a strong local “spike” electric field at the mutant homojunction interface.
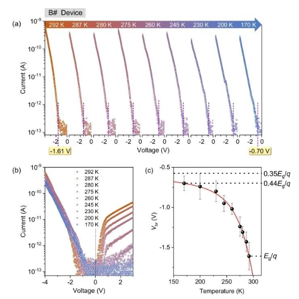
In addition, the atomic thickness can suppress the scattering mechanism dominated by the phonon mode, and realize the acceleration and multiplication process of non-equilibrium carrier with very low loss. This brings the avalanche threshold energy at room temperature close to the theoretical limit i.e. the semiconductor material bandgap Eg. The avalanche threshold voltage was reduced from 50 V to 1.6 V, allowing the researchers to use mature low-voltage digital circuits to drive the avalanche photodetector as well as drive diodes and transistors. This study realizes the efficient conversion and utilization of non-equilibrium carrier energy through the design of low threshold avalanche multiplication effect, which provides a new perspective for the development of the next generation of highly sensitive, low threshold and high gain avalanche infrared detection technology.

Post time: Apr-16-2025




